Portfolio
Mickael Renault
Sensors and Algorithm Engineer
Home > Academic Projects > Rear Parking Aid

In this project, you shall describe and validate the architecture of a Rear Parking Aid, as you can see on most of cars.
You will take into account the 2 following parts :
See the specification note (PDF French 80KB)
Download report (PDF French 2.8MB)
In this communication, the top layer called "Liaison" has to transmit a message given by a producer and has to receive and aquit it before giving to the consumer. If NACK is returned, or if the current delay exceeds the Timeout period, the "EmissionLiaison" function send the message again (max 3 times).
The layer underneath called "Framing/Deframing" has to encapsulate the message with a Start of Text character (STX) and an End of Text character (ETX), and include a Checksum character (before ETX). Thus, 3 characters are added to the message, and let the "Deframing" function understand the limits of the message and control the content thanks to the Checksum. If an error occurs, NACK is returned.
The bottom layer called "Character Transmission" decompose and reconstruct every character in a binary sequence, adding a Sign Bit to check the validity of the transmitted character.
We can find underneath the transmission channel, where noise can be added to the stream.
The behavior of the ulstrasound transmitter/receiver is modeled with a second-order transfer function :
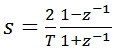
We use a bilinear transform (Tustin's method) :
Thus,
We can now use the "filter" MatLab function, and add some delay in proportion to the distance. Here is the result if we consider a square signal as input :
For digital signal processing, we have to convert this transfert function to a recurrence relation :
With the following :
By considering now the delay and mitigation in proportion to the distance, we obtain these simulation results :
|
+1.617.259.7985 |